КЛЕТОЧНЫЕ ПРОИЗВОДНЫЕ ОБЪЕКТЫ
1- КЛЕТОЧНЫЕ ПРОИЗВОДНЫЕ И ПРОИЗВОДСТВЕННЫЕ ОБЪЕКТЫ
A-CMC (CARBOXYMETHYL CELLULOSE) ПРОИЗВОДСТВЕННЫЕ ОБЪЕКТЫ
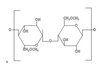
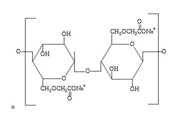
КМЦ представляет собой анионный эфир целлюлозы. Его химическое название SODIUM CARBOXYMETHYL CELLULOSE.
Карбоксиметилцеллюлоза является самым известным производным целлюлозы. КМЦ представляет собой полимер, широко используемый в коммерческих Диапазон DS их производства составляет 0,4-1,4. КМЦ нетоксичен.
NaCMC химическая формула
Его можно собрать под двумя основными названиями в зависимости от типа продукта.
А-ТЕХНИЧЕСКИЕ ТИПЫ Производство натрий-карбоксиметилцеллюлозы (NaCMC)
B- PURE TYPE Производственные мощности натрий-карбоксиметилцеллюлозы (Na CMC)
Оба типа продуктов содержат много подгрупп в соответствии с областями их использования.
ОБЛАСТИ ИСПОЛЬЗОВАНИЯ
Он имеет широкий спектр применения. Это очень хорошо растворим в воде.
1- Это определенно используется во всех порошковых и кремовых моющих средствах.
Необходимо удалить волокно и защитить волокно от механических воздействий.
2- Используется для уменьшения фильтрата в буровом растворе. Он очень хорошо поддерживает баланс суспензии и уменьшает потери воды. Он регулирует свойства текучести и вязкости бурового раствора с его неизменной концентрацией. Он не изменяется и не ферментируется при высоких температурах.
3- Используется в текстильной промышленности, отделочных (калибровочных) процессах.
4- керамика, огнеупорный материал и литейной промышленности.
5- Используется в лакокрасочной, чернильной, бумажной, фанерной и клеевой промышленности.
6- Он используется во многих отраслях промышленности, таких как производство кожи, лекарственных трав и инсектицидов и т. Д.
7- Чистые продукты типа используются в пищевой, медицинской и различных продуктах химической промышленности.
СЫРЬЕ Нефтехимическая отрасль - продукция лесной и полеводческой промышленности.
сырье одинаковое. К ним относятся:
а- монохлорацетат натрия или монохлоруксусная кислота
б- Гидроксид натрия
c- Целлюлоза (листовая или рулонная целлюлоза, целлюлоза Линтер, остаток хлопчатобумажной ткани…) Другие химические вещества необходимы для качества продукции. Для производства натрий-карбоксиметилцеллюлозы чистого типа,
Например, этиловый спирт постоянно используется, перегоняется и восстанавливается с небольшими потерями.
CMC ПРОИЗВОДСТВЕННЫЕ ЭТАПЫ
Поскольку наша цель - качество и стоимость, необходимость дифференциации выходит на первый план. И есть разные виды производства, вплоть до одного и того же производства.
Производство КМЦ осуществляется в три основных этапа
а- подготовка сырья
b- реакции в - сушка, измельчение, просеивание, фильтрация и упаковка
Элементы затрат в производстве перечислены как затраты на сырье, энергию, рабочую силу и прочие расходы соответственно. Производственная линия, которую мы будем рекомендовать, полностью экологична с выбросом выбросов 0%.
КМЦ ПРОИЗВОДСТВО
à Тесто или молотая целлюлоза
Solution Раствор едкого натра
К монохлоруксусной кислоте или монохлористому ацетату натрия
Этиловый спирт (используется только в чистом виде)
à Вода
↓
реактор
↓
à Вода à Фильтр / Мойка-Переработка отходов (используется только в чистом виде)
↓
сушка
↓
Уменьшение размера / шлифовка
↓
Гомогенизирующее, просеивающее, защитное химическое добавление
↓
обращение
↓
Последний продукт
ОБОРУДОВАНИЕ ДЛЯ ПРОИЗВОДСТВА КАРБОКСИ МЕТИЛЯ НАТРИЯ (Na CMS)
CMS, как и реакции CMC, получают взаимодействием крахмала, обработанного щелочным раствором, с монохлорацетатом натрия.
Важнейшая форма производства - органические растворители.
CMS нашла широкое применение в промышленном производстве. Это важная химическая помощь с уникальными характеристиками и высокими экономическими преимуществами.
Он имеет различные применения в пищевой промышленности. Он используется в качестве стабилизатора и консерванта в мороженом, овощах, безалкогольных напитках, свежем мясе и фруктах. CMS для непищевых продуктов: используется в фармацевтике, текстильной и матовой промышленности, в производстве клея и бумаги, переработке сточных вод, в производстве сильных абсорбирующих материалов.
C. ПРОИЗВОДСТВЕННОЕ ОБЪЕДИНЕНИЕ МЕТИЛЦЕЛЛЮЛОЗЫ (МС)
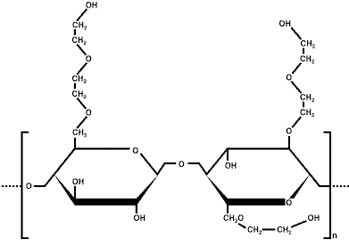
Метилцеллюлозу получают в результате реакции целлюлозы, гидроксида натрия, диметилсульфоксида или метилхлорида в особых условиях.
MC Химическая формула

Метилцеллюлоза является важным эфиром целлюлозы, который растворим в холодной воде и неионогенный. Степень замещения
(DS) ведет себя по-разному с различными растворителями
Растворим в 6-8% растворах NaOH между DS / 0,1-1,0
Растворим в воде от DS / 1,4 до 2,0. Коммерчески используются виды производства целлюлозы
Растворим в органических растворителях от DS / 2,4 до 2,8
Метилцеллюлоза более долговечна, чем другие целлюлозы, несмотря на бактериальную и ферментативную деградацию
Фармацевтика, Сельскохозяйственные химикаты, Пищевые добавки, Строительная химия, Керамика, Моющие средства, Личные
в средствах по уходу (шампунь…), краски, бумага, типографские краски, текстиль, производство клея и
У него функциональные обязанности во многих других областях.
Д-ГИДРОКСИЭТИЛЦЕЛЛЮЛОЗА (ГЭК) ПРОИЗВОДСТВЕННЫЕ ОБЪЕКТЫ
Его получают путем взаимодействия неионогенного полимера, гидроксиэтилцеллюлозы, щелочной целлюлозы и этиленоксида.
.HEC легко растворим в горячей или холодной воде. Растворы гидроксиэтилцеллюлозы обеспечивают наилучшую совместимость с неорганическими солями высокой концентрации.
Коммерчески растворимые в воде HEC производства находятся в диапазоне 1,5-3,3, DS 1,8-2,5 и являются наиболее известными типами.
HEC, загуститель, коллоидный проявитель, клей, суспендированный во многих различных областях промышленного применения
Он используется в качестве агента. Это аптека, текстиль, бумага, клей, отделка, проявитель краски, эмульсионная полимеризация,
Керамика и много областей применения.
Химическая формула ГЭК

Pусский